반응형
문제
https://leetcode.com/explore/learn/card/linked-list/214/two-pointer-technique/1215/




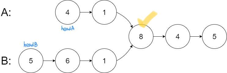
다음과 같은 Linked List(LL,링크드 리스트)가 주어졌을때, 서로 부딪히는(위 그림의 노란 체크) 노드 찾기
아이디어
일단 같은 길이의 위치에 놓은 후 한칸씩 건너며 체크한다

위와 같은 두 LL이 주어진다고 한다면

긴쪽의 head를 짧은 쪽의 head 에 맞게 옮긴후


이후 한칸씩 움직이면 Intersect 노드를 찾을 수 있음
제약조건

overflow등을 걱정할만한 제약조건은 없어보임
챌린지
time complexity : O(m + n)
Space complexity : O(1)
뼈대코드
/**
* Definition for singly-linked list.
* public class ListNode {
* int val;
* ListNode next;
* ListNode(int x) {
* val = x;
* next = null;
* }
* }
*/
public class Solution {
public ListNode getIntersectionNode(ListNode headA, ListNode headB) {
}
}
내가 한 코드
더보기
더보기
/**
* Definition for singly-linked list.
* public class ListNode {
* int val;
* ListNode next;
* ListNode(int x) {
* val = x;
* next = null;
* }
* }
*/
public class Solution {
public ListNode getIntersectionNode(ListNode headA, ListNode headB) {
// base cases
// if(headA == null || headB ==null){
// return null;
// }
// if(headA == headB){
// return headA;
// }
long ptPos = 0;
ListNode currA = headA, currB = headB;
boolean mOrN = true;
while(currA != null && currB != null){
if(currA == currB){
return currA;
}
currA = currA.next;
currB = currB.next;
}
if(currA == null && currB ==null){
return null;
}
if(currA != null){
while(currA != null){
ptPos++;
currA = currA.next;
}
}
if(currB != null){
mOrN = false;
while(currB != null){
ptPos++;
currB = currB.next;
}
}
System.out.println(ptPos);
currA = headA;
currB = headB;
//m is bigger
if(mOrN){
while(ptPos>0){
currA = currA.next;
ptPos--;
}
}else{
while(ptPos>0){
currB = currB.next;
ptPos--;
}
}
while(currA != null && currB != null){
if(currA == currB){
return currA;
}
currA = currA.next;
currB = currB.next;
}
return null;
}
}
정답코드
충격적으로 간단
더보기
더보기
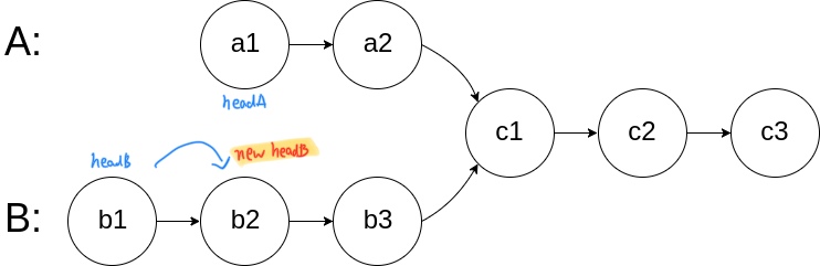
public class Solution {
public ListNode getIntersectionNode(ListNode headA, ListNode headB) {
ListNode pA = headA;
ListNode pB = headB;
while (pA != pB) {
pA = pA == null ? headB : pA.next;
pB = pB == null ? headA : pB.next;
}
return pA;
// Note: In the case lists do not intersect, the pointers for A and B
// will still line up in the 2nd iteration, just that here won't be
// a common node down the list and both will reach their respective ends
// at the same time. So pA will be NULL in that case.
}
}
반응형
'아카이브 > 알고리즘' 카테고리의 다른 글
| Linked List 문제 (2) | 2024.01.15 |
|---|